
Czy w ustawę o sieci wmontowany jest mechanizm wygaszający leczenie szpitalne
- Szpitale, które znajdą się w sieci będą premiowane za zwijanie działalności w tempie 10 proc. rocznie – wynika z analizy ekspertów Kancelarii Janiszewski, którzy prześledzili algorytmy wpisane w projekty aktów wykonawczych ustawy o sieci.
Wspólnie z Kancelarią zastanawiamy się – czy to błąd matematyczny? Czy może celowy ruch obliczony na to, by wymusić wygaszanie lecznictwa szpitalnego w Polsce?
Algorytm, który prześledziliśmy pozwala wyliczyć ryczałt dla sieciowych szpitali. Nie tylko ten ryczałt „otwarcia”, ten pierwszy. Ale i kolejne, spodziewane w przyszłych latach – po uwzględnieniu współczynników oceniających aktywność i działania szpitali w kolejnych miesiącach funkcjonowania ustawy sieciowej.
- Przeprowadziliśmy symulację, co się stanie gdy współczynniki zadziałają i jak wyglądać będzie przyszły ryczałt, gdy szpitale zaczną udzielać większej liczby świadczeń, a co gdy mniejszą – mówi Rafał Janiszewski, właściciel kancelarii. - I oczom nie mogliśmy uwierzyć. Bo choć zdrowy rozsądek nakazywałby zwiększać ryczałt najbardziej pracowitym szpitalom, algorytm premiuje te, które działalność będą ograniczać – dodaje.
A preferowane tempo zwijania aktywności to 10 proc. rocznie.
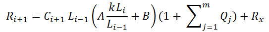
Powyższe wynika z analizy datowanego na 06.02.2017 r. projektu rozporządzenia Ministra Zdrowia w sprawie określenia sposobu ustalania ryczałtu systemu podstawowego szpitalnego zabezpieczenia świadczeń opieki zdrowotnej oraz wykazu świadczeń opieki zdrowotnej wymagających ustalenia odrębnego sposobu finansowania określa sposób wyliczenia wartości ryczałtu systemu zabezpieczenia. Ryczałt ten wylicza się na podstawie następującego wzoru:

gdzie:
Ri+1 wartość ryczałtu systemu zabezpieczenia dla danego świadczeniodawcy na dany okres rozliczeniowy,
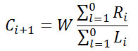
Ci+1 cena jednostki sprawozdawczej w okresie obowiązywania ryczałtu systemu zabezpieczenia, wyznaczana według następującego wzoru:

W - wskaźnik dynamiki wysokość środków finansowych zaplanowanych na finansowanie świadczeń w formie ryczałtu systemu zabezpieczenia, określoną w planie zakupu świadczeń opieki zdrowotnej, o którym mowa w art. 131 b ust. l ustawy na dany okres rozliczeniowy w stosunku do okresu poprzedzającego,
Ri - ryczałt danego świadczeniodawcy w okresie obliczeniowym, to jest okresie rozliczeniowym poprzedzającym okres, dla którego ustala się kwotę ryczałtu systemu zabezpieczenia,
Li – liczba jednostek świadczeń wykonanych i sprawozdanych przez danego świadczeniodawcę w okresie obliczeniowym, to jest okresie rozliczeniowym poprzedzającym okres, dla którego ustala się kwotę ryczałtu systemu zabezpieczenia;
Li-1 – liczba jednostek świadczeń wykonanych i sprawozdanych przez danego świadczeniodawcę w okresie poprzedzającym okres obliczeniowy;
k – współczynnik proporcjonalności korygujący długość trwania okresów rozliczeniowych danego świadczeniodawcy (przy jednakowych okresach k=1);
A, B – współczynniki korygujące dotyczące danego świadczeniodawcę, przyjmujące następujące wartości w zależności od wartości:
Rx - korekta ryczałtu wynikająca z art. 136c ust. 4 ustawy, polegająca na zwiększeniu lub zmniejszeniu.
Qj współczynniki korygujące, związane z jakością procesu udzielania świadczeń przez danego świadczeniodawcę, w danym okresie obliczeniowym (i), z zastrzeżeniem, że suma wartości tych wskaźników nie może być większa niż 0,05 i nie może być mniejsza niż 0,05. Konia z rzędem temu, kto odpowie na pytanie jaki sens wobec powyższego warunku ma współczynnik Q
Co wynika z analizy?
Przy neutralnej wartości współczynnika dynamiki wysokość środków finansowych zaplanowanych na finansowanie świadczeń w formie ryczałtu systemu zabezpieczenia i współczynnika jakościowego szpitale, które chcą utrzymać ryczałt na pierwotnym poziomie muszą wykonać dokładnie tyle samo świadczeń – proste i logiczne. Ale ten sam efekt osiągną obniżając liczbę świadczeń o 20 proc. Ryczałt w tych warunkach będzie taki sam! Co ciekawe ryczał wzrośnie nawet o 5,55%, gdy liczba udzielanych świadczeń… spadnie o 10 proc.
Zwiększanie liczby świadczeń będzie natomiast karane.
Zwiększenie wykonań o 10% to strata 4,5454% wartości kontraktu.
Zwiększenie wykonań o 20% to strata 10,8333% wartości kontraktu.
Zwiększenie wykonań o 25% to strata 1,6% wartości kontraktu.
Zwiększenie wykonań o 40% to strata 21,7857% wartości kontraktu.
Zwiększenie wykonań o 50% to strata 26,3333% wartości kontraktu.
Zwiększenie wykonań o 100% to strata 42,25% wartości kontraktu.
Poniższy wykres obrazuje wysokość ryczałtu na kolejny okres rozliczeniowy przy realizacji świadczeń w bieżącym okresie rozliczeniowym względem okresu poprzedniego.

Jak zauważają analitycy Kancelarii Janiszewski aby podwyższyć wartość ryczałtu na kolejny okres, należy zadbać o uzyskanie wyższego współczynnika jakościowego i pomodlić się, aby współczynnik W (o którym decyduje Minister) był wyższy od 1. Na przykład można skupić się na zwiększeniu ilości świadczeń zabiegowych, a raczej zmniejszeniu zachowawczych, co tym samym podniesie nam jeden ze współczynników jakościowych. - To jednak nie tylko wyższa matematyka, ale również ekwilibrystyka w zakresie inżynierii rodzaju udzielanych świadczeń i epidemiologii - mówi Rafał Janiszewski.
Otwarte pozostaje pytanie, czy tak rzeczywiście resort wyobraża sobie przyszłość podstawy finansowej polskich szpitali, czy autorom projektu ustawy kawał zrobił… zatrudniony przez nich matematyk.
Oprac. Bartłomiej Leśniewski
Algorytm, który prześledziliśmy pozwala wyliczyć ryczałt dla sieciowych szpitali. Nie tylko ten ryczałt „otwarcia”, ten pierwszy. Ale i kolejne, spodziewane w przyszłych latach – po uwzględnieniu współczynników oceniających aktywność i działania szpitali w kolejnych miesiącach funkcjonowania ustawy sieciowej.
- Przeprowadziliśmy symulację, co się stanie gdy współczynniki zadziałają i jak wyglądać będzie przyszły ryczałt, gdy szpitale zaczną udzielać większej liczby świadczeń, a co gdy mniejszą – mówi Rafał Janiszewski, właściciel kancelarii. - I oczom nie mogliśmy uwierzyć. Bo choć zdrowy rozsądek nakazywałby zwiększać ryczałt najbardziej pracowitym szpitalom, algorytm premiuje te, które działalność będą ograniczać – dodaje.
A preferowane tempo zwijania aktywności to 10 proc. rocznie.
Powyższe wynika z analizy datowanego na 06.02.2017 r. projektu rozporządzenia Ministra Zdrowia w sprawie określenia sposobu ustalania ryczałtu systemu podstawowego szpitalnego zabezpieczenia świadczeń opieki zdrowotnej oraz wykazu świadczeń opieki zdrowotnej wymagających ustalenia odrębnego sposobu finansowania określa sposób wyliczenia wartości ryczałtu systemu zabezpieczenia. Ryczałt ten wylicza się na podstawie następującego wzoru:

gdzie:
Ri+1 wartość ryczałtu systemu zabezpieczenia dla danego świadczeniodawcy na dany okres rozliczeniowy,
Ci+1 cena jednostki sprawozdawczej w okresie obowiązywania ryczałtu systemu zabezpieczenia, wyznaczana według następującego wzoru:

W - wskaźnik dynamiki wysokość środków finansowych zaplanowanych na finansowanie świadczeń w formie ryczałtu systemu zabezpieczenia, określoną w planie zakupu świadczeń opieki zdrowotnej, o którym mowa w art. 131 b ust. l ustawy na dany okres rozliczeniowy w stosunku do okresu poprzedzającego,
Ri - ryczałt danego świadczeniodawcy w okresie obliczeniowym, to jest okresie rozliczeniowym poprzedzającym okres, dla którego ustala się kwotę ryczałtu systemu zabezpieczenia,
Li – liczba jednostek świadczeń wykonanych i sprawozdanych przez danego świadczeniodawcę w okresie obliczeniowym, to jest okresie rozliczeniowym poprzedzającym okres, dla którego ustala się kwotę ryczałtu systemu zabezpieczenia;
Li-1 – liczba jednostek świadczeń wykonanych i sprawozdanych przez danego świadczeniodawcę w okresie poprzedzającym okres obliczeniowy;
k – współczynnik proporcjonalności korygujący długość trwania okresów rozliczeniowych danego świadczeniodawcy (przy jednakowych okresach k=1);
A, B – współczynniki korygujące dotyczące danego świadczeniodawcę, przyjmujące następujące wartości w zależności od wartości:
Wartość ilorazu kLi/Li -1 | Wartość współczynnika A | Wartość współczynnika B |
(0-0,5) | 0,7 | 0 |
<0,5-0,9) | 1,5 | -0,4 |
<0,9-1,1 | 0,5 | 0,5 |
<1,1-1,25 | 0,2 | 0,83 |
<1,25+ | 01 | 0,955 |
Rx - korekta ryczałtu wynikająca z art. 136c ust. 4 ustawy, polegająca na zwiększeniu lub zmniejszeniu.
Qj współczynniki korygujące, związane z jakością procesu udzielania świadczeń przez danego świadczeniodawcę, w danym okresie obliczeniowym (i), z zastrzeżeniem, że suma wartości tych wskaźników nie może być większa niż 0,05 i nie może być mniejsza niż 0,05. Konia z rzędem temu, kto odpowie na pytanie jaki sens wobec powyższego warunku ma współczynnik Q
Charakterystyka współczynnika korygującego Qj | Wartość współczynnika korygującego Qj w przypadku spełniania (tak) albo braku spełniania charakterystyki (nie): | |
TAK | NIE | |
Wzrost udziału świadczeń ambulatoryjnych w sprawozdanych jednostkach sprawozdawczych za okres (i) w stosunku do okresu (i-1) | 0,0 1 | 0 |
Skrócenie czasu pobytu w szpitalu w okresie (i) w o porównaniu do okresu (i-1) | 0,0 1 | 0 |
Wzrost przeciętnej wartości l hospitalizacji w jednostkach sprawozdawczych - parametr dla szpitali III i ogólnopolskiego poziomu | 0,02 | -0,0 1 |
Wzrost współczynnika ponownych hospitalizacji w czasie krótszym niż 30 dni | -0,02 | 0 |
Posiadanie ważnej akredytacji Centrum Monitorowania Jakości w Ochronie Zdrowia w zakresie leczenia szpitalnego na pierwszy dzień o okresu rozliczeniowego, dla którego wyznaczany jest ryczałt | 0,02 | 0 |
Wzrost w okresie (i) w stosunku do okresu (i-1) o co najmniej 10% udziału hospitalizacji, w trakcie których wykonano zabieg w stosunku do ogólnej liczby hospitalizacji (dotyczy specjalności/ profili zabiegowych). | 0,01 | 0 |
Spadek w okresie (i) w stosunku do okresu (i-1) o co najmniej 10% udziału hospitalizacji, w trakcie których wykonano zabieg w stosunku do ogólnej liczby hospitalizacji (dotyczy specjalności/ profili zabiegowych). | -0,01 | 0 |
Spadek udziału świadczeń ambulatoryjnych w sprawozdanych jednostkach sprawozdawczych za okres (i) w stosunku do okresu (i-1) | -0,01 | 0 |
Co wynika z analizy?
Przy neutralnej wartości współczynnika dynamiki wysokość środków finansowych zaplanowanych na finansowanie świadczeń w formie ryczałtu systemu zabezpieczenia i współczynnika jakościowego szpitale, które chcą utrzymać ryczałt na pierwotnym poziomie muszą wykonać dokładnie tyle samo świadczeń – proste i logiczne. Ale ten sam efekt osiągną obniżając liczbę świadczeń o 20 proc. Ryczałt w tych warunkach będzie taki sam! Co ciekawe ryczał wzrośnie nawet o 5,55%, gdy liczba udzielanych świadczeń… spadnie o 10 proc.
Zwiększanie liczby świadczeń będzie natomiast karane.
Zwiększenie wykonań o 10% to strata 4,5454% wartości kontraktu.
Zwiększenie wykonań o 20% to strata 10,8333% wartości kontraktu.
Zwiększenie wykonań o 25% to strata 1,6% wartości kontraktu.
Zwiększenie wykonań o 40% to strata 21,7857% wartości kontraktu.
Zwiększenie wykonań o 50% to strata 26,3333% wartości kontraktu.
Zwiększenie wykonań o 100% to strata 42,25% wartości kontraktu.
Poniższy wykres obrazuje wysokość ryczałtu na kolejny okres rozliczeniowy przy realizacji świadczeń w bieżącym okresie rozliczeniowym względem okresu poprzedniego.

Jak zauważają analitycy Kancelarii Janiszewski aby podwyższyć wartość ryczałtu na kolejny okres, należy zadbać o uzyskanie wyższego współczynnika jakościowego i pomodlić się, aby współczynnik W (o którym decyduje Minister) był wyższy od 1. Na przykład można skupić się na zwiększeniu ilości świadczeń zabiegowych, a raczej zmniejszeniu zachowawczych, co tym samym podniesie nam jeden ze współczynników jakościowych. - To jednak nie tylko wyższa matematyka, ale również ekwilibrystyka w zakresie inżynierii rodzaju udzielanych świadczeń i epidemiologii - mówi Rafał Janiszewski.
Otwarte pozostaje pytanie, czy tak rzeczywiście resort wyobraża sobie przyszłość podstawy finansowej polskich szpitali, czy autorom projektu ustawy kawał zrobił… zatrudniony przez nich matematyk.
Oprac. Bartłomiej Leśniewski