
Awantura o algorytm: zdanie krytyków
Znaleźliśmy błąd w algorytmie załączonym do do przepisów wykonawczych do ustawy sieciowej. Naszym zdaniem ze wzoru wynika, że premiowane finansowo będą szpitale, które zwijać będą działalność w tempie 10 proc. Ministerstwo nie zgadza się z naszymi wyliczeniami, a... z ministerstwem krytycy. Przedstawiamy ich opinie.
Przeprowadziliśmy symulację, co się stanie gdy współczynniki zadziałają i jak wyglądać będzie przyszły ryczałt, gdy szpitale zaczną udzielać większej liczby świadczeń, a co gdy mniejszą. - I oczom nie mogliśmy uwierzyć. Bo choć zdrowy rozsądek nakazywałby zwiększać ryczałt najbardziej pracowitym szpitalom, algorytm premiuje te, które działalność będą ograniczać – mówi Rafał Janiszewski, właściciel kancelarii. A preferowane tempo zwijania aktywności to 10 proc. rocznie.
Argumenty przedstawiliśmy w tekście: "Czy w ustawę o sieci wmontowany jest mechanizm wygaszający leczenie szpitalne".
Ministerstwo Zdrowia odpowiedziało na tekst, podważając wyliczenia Kancelarii. Komentarz resortu: Awantura o algorytm: zdanie matematyków resortu
Kancelaria Janiszewski podtrzymuje jednak swoje zarzuty:
- Racjonalność ustawodawcy jest domniemywana - zauważa. Co oznacza, że każdy, kto przeczyta algorytm tak jak został napisany, może czytać go literalnie, nie oglądając się na dodatkowe wyjaśnienia do artykułu prasowego. Poniżej pismo Kancelarii Janiszewski.
W naszej ocenie, wyliczenia przedstawione w artykule były prawidłowe, jeśli czytać zapisy treści projektu rozporządzenia, bez wyjaśnień udzielonych w piśmie Rzecznika Prasowego Ministra Zdrowia. Nie można przy tym wyłączyć możliwości obliczania wartości Ci w sposób wskazany w piśmie, jednak w obecnym kształcie projektowanego rozporządzenia, brak jest zapisów wskazujących na takie intencje prawodawcy.
W pierwszej kolejności warto odnieść się do logiki oraz wynikającego z logiki sposobu opisania regulacji. W naszej ocenie, jako akt wykonawczy, powinien stanowić jasną instrukcję realizacji ustawy. Wątpliwości w naszej ocenie wzbudził nie tyle sam wzór na obliczenie ryczałtu na kolejny okres, co samo rozwiązanie systemowe. Eksperci naszej kancelarii nie byli odosobnieni we wnioskach wyciągniętych z analizy wzorów oraz wynikach obliczania wartości ryczałtów. Warto zatem, odnosząc się do wyjaśnień Ministerstwa Zdrowia, przeanalizować jeszcze raz zapisy projektu.
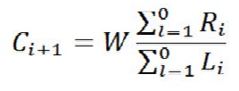
Zgodnie z objaśnieniami do wzoru zapisanego w projekcie rozporządzenia Ministra Zdrowia w sprawie określenia sposobu ustalania ryczałtu systemu podstawowego szpitalnego zabezpieczenia świadczeń opieki zdrowotnej oraz wykazu świadczeń opieki zdrowotnej wymagających ustalenia odrębnego sposobu finansowania, przyjęto że występujące we wzorze na obliczenie wartości ryczałtu systemu zabezpieczenia oznaczenia Ri oraz Li symbolizują odpowiednio:
Ri – ryczałt danego świadczeniodawcy w okresie obliczeniowym, to jest okresie rozliczeniowym poprzedzającym okres, dla którego ustala się kwotę ryczałtu systemu zabezpieczenia,
Li – Liczba jednostek świadczeń wykonanych i sprawozdanych przez danego świadczeniodawcę w okresie obliczeniowym, to jest okresie rozliczeniowym poprzedzającym okres, dla którego ustala się kwotę ryczałtu systemu zabezpieczenia.
Zdefiniowane zatem zostało znaczenie symboli występujących we wzorze służącym obliczeniu wartości Ci i ich przypisanie do poziomu poszczególnych świadczeniodawców. Kluczowym dla rozstrzygnięcia w jaki sposób należy obliczać współczynnik Ci jest wobec powyższego znaczenie występującego zarówno w liczniku, jak i w mianowniku symbolu Ʃ we wzorze.

W ocenie ekspertów Kancelarii, jeżeli mowa jest o danych dotyczących danego świadczeniodawcy, Ʃ wskazuje na konieczność dokonania obliczeń w oparciu o sumę danych liczbowych dotyczących wyłącznie jednego podmiotu. Świadczeniodawca ten udziela bowiem świadczeń w różnych profilach stanowiących podstawę dokonania kwalifikacji do systemu zabezpieczenia oraz w ramach profili dodatkowych. Nie bez znaczenia jest ten fakt, wobec występujących różnic pomiędzy taryfikacją poszczególnych profili, a nawet świadczeń w poszczególnych profilach jednego świadczeniodawcy. Nie można zatem mówić o nieprawidłowym skróceniu Ʃ w toku dokonywanych obliczeń, a o jej przełożeniu na sumowanie świadczeń w poszczególnych profilach. W przypadku braku wskazania dotyczącego sumowania wartości poszczególnych profili mogłaby powstawać wątpliwość, co do prawidłowości podstawienia zsumowanych dla danego świadczeniodawcy zakresów do wzoru.
Co znaczące, symbol Ʃ pojawia się we wzorze także w odniesieniu do współczynników Qj, czyli współczynników korygujących, związanych z jakością procesu udzielania świadczeń przez danego świadczeniodawcę, w danym okresie obliczeniowym (i).
Gdyby przez analogię ze wskazanym przez Ministerstwo (w odpowiedzi Rzecznika Prasowego) sposobem obliczenia współczynnika Ci przyjąć interpretację dotyczącą sumowania danych liczbowych wszystkich uczestników systemu zabezpieczenia, można by dojść do wniosku, że jakość także należałoby oceniać w ujęciu całościowym. W tabeli dotyczącej współczynników jakości zastrzeżono natomiast przykładowo posiadanie ważnej akredytacji, co trudno jest oceniać w kontekście świadczeniodawców w systemie zabezpieczenia jako ogółu.
Wątpliwości może budzić także przyjęcie uśrednionej ceny jednostki sprawozdawczej dla wszystkich świadczeniodawców funkcjonujących w ramach systemu zabezpieczenia. Prowadzić by to bowiem mogło do braku zróżnicowania dla stawek przyjmowanych dla podmiotów na różnym stopniu zabezpieczenia, mimo że ideą reformy jest m.in. zabezpieczenie stabilności finansowania podmiotów udzielających wyspecjalizowanych świadczeń, w szczególności wskazując na podmioty na poziomie III i ogólnopolskim. Jednolita cena dla wszystkich poziomów zabezpieczenia byłaby zatem niekorzystna dla świadczeniodawców sprawujących opiekę nad pacjentami, u których występują najpoważniejsze problemy zdrowotne.
Szacując skutki ustalania ryczałtu w oparciu o zaprezentowany wzór nie przyjęto także obniżenia przez świadczeniodawców liczby udzielonych świadczeń, ponieważ stworzona symulacja dotyczy zamkniętego okresu stanowiącego podstawę dla prowadzonych obliczeń, a nie prognoz na przyszłość. Wobec braku możliwości ingerencji w dane historyczne, na których oparte są wyliczenia, zostały one przyjęte bez dokonywania zmian czy w szczególności proporcjonalnego zmniejszenia liczby świadczeń.
W całej dyskusji o wartości wyrażenia ważne są dwie sprawy:
1. Intencje, cel jaki się chce osiągnąć opisując projektowaną rzeczywistość wzorem
2. Precyzja narzędzia realizującego.
Wzory matematyczne w tekstach aktów prawnych dobrze wyglądają. Rzucają na kolana mądrością autorów i zniechęcają większość do zagłębiania się w „ślimaki” – przecież ktoś mądry musiał to policzyć. Zarówno przy budowaniu wyrażenia matematycznego jak i jego opisywaniu dobrze jest zachować dyscyplinę logiczną i językową.
Wyrażenie matematyczne w akcie prawnym musi mieć sens, który daje wynik zgodny z celem regulacji w każdym przypadku. Opis tego wyrażania powinien być jednoznaczny i nie powinien pozostawiać miejsca na interpretację. Zdaniem Ministerstwa Zdrowia Kancelaria błądzi, że założenia i wyniki osiągane przez Autorów wzoru są inne. Powstaje pytanie czy obliczenia i wykres przedstawione przez Kancelarię są nieprawdziwe? Co się dzieje się kiedy mamy tylko jednego świadczeniodawcę albo wszystkich świadczeniodawców traktujemy jako jednego, czy wtedy wzór nie oddaje logiki systemu? Jeżeli oddaje logikę systemu to dlaczego premiowane jest zmniejszenie wykonania świadczeń? Zatem jeśli projektodawca przedstawia akt wykonawczy to wynika z niego, że nie powiedział wszystkiego.
Jeśli będziemy posługiwać się jedną ceną jednostki rozliczeniowej w systemie (jak by wynikało z wyjaśnienia Ministerstwa Zdrowia), to co nią będzie? Może sztuka udzielonego świadczenia „hospirada”, stanowiąca swoistą wypadkową porady i hospitalizacji. Jednak wątpliwość budzi wówczas możliwość ustalenia jej faktycznej ceny, a dodatkowo jako cena ogólnopolska, a sposób liczenia wartości ryczałtu opiera się o dane wszystkich świadczeniodawców, to co wówczas z algorytmem podziału środków na województwa?
Czy rzeczywiście cena jednostki świadczeń, w tym co pozostanie po AOS, ma być równa cenie jednostki świadczeń szpitalnych. Jeżeli tek to jak to wpłynie na wartość ryczałtu świadczeniodawców o różnej strukturze świadczeń. Uśrednienie ceny oznacza straty (zmniejszenie ryczałtu) świadczeniodawców, którzy realizowali więcej świadczeń szpitalnych.
Istnieje też obawa, że w algorytmie ryczałtu początkowego zostaną skonsumowane współczynniki korygujące i współczynniki te nie będą już działały w przyszłości. To z kolei może oznaczać obniżenie finansowania oddziałów specjalistycznych np. oddziałów pediatrycznych.
W ocenie ekspertów kancelarii zapisy projektu rozporządzenia w zakresie wzoru na obliczanie ryczałtu na kolejny okres, a w szczególności wyjaśnienia składowych wzoru, są nie tyle niejednoznaczne, co nieprawidłowe. Wyjaśnienie Rzecznika Prasowego Ministra Zdrowia stawiają nowe światło na myśl autorów jaką chcieli zrealizować. Jednak w naszej ocenie obraz jawiący się w tym nowym świetle, nie przedstawia dobrego rozwiązania dla sposobu ustalania wartości budżetów szpitali. Dodatkowo, wobec idei zmian opisanych w projektach reformy budzą szereg wątpliwości i niespójności.
Argumenty przedstawiliśmy w tekście: "Czy w ustawę o sieci wmontowany jest mechanizm wygaszający leczenie szpitalne".
Ministerstwo Zdrowia odpowiedziało na tekst, podważając wyliczenia Kancelarii. Komentarz resortu: Awantura o algorytm: zdanie matematyków resortu
Kancelaria Janiszewski podtrzymuje jednak swoje zarzuty:
- Racjonalność ustawodawcy jest domniemywana - zauważa. Co oznacza, że każdy, kto przeczyta algorytm tak jak został napisany, może czytać go literalnie, nie oglądając się na dodatkowe wyjaśnienia do artykułu prasowego. Poniżej pismo Kancelarii Janiszewski.
W naszej ocenie, wyliczenia przedstawione w artykule były prawidłowe, jeśli czytać zapisy treści projektu rozporządzenia, bez wyjaśnień udzielonych w piśmie Rzecznika Prasowego Ministra Zdrowia. Nie można przy tym wyłączyć możliwości obliczania wartości Ci w sposób wskazany w piśmie, jednak w obecnym kształcie projektowanego rozporządzenia, brak jest zapisów wskazujących na takie intencje prawodawcy.
W pierwszej kolejności warto odnieść się do logiki oraz wynikającego z logiki sposobu opisania regulacji. W naszej ocenie, jako akt wykonawczy, powinien stanowić jasną instrukcję realizacji ustawy. Wątpliwości w naszej ocenie wzbudził nie tyle sam wzór na obliczenie ryczałtu na kolejny okres, co samo rozwiązanie systemowe. Eksperci naszej kancelarii nie byli odosobnieni we wnioskach wyciągniętych z analizy wzorów oraz wynikach obliczania wartości ryczałtów. Warto zatem, odnosząc się do wyjaśnień Ministerstwa Zdrowia, przeanalizować jeszcze raz zapisy projektu.
Zgodnie z objaśnieniami do wzoru zapisanego w projekcie rozporządzenia Ministra Zdrowia w sprawie określenia sposobu ustalania ryczałtu systemu podstawowego szpitalnego zabezpieczenia świadczeń opieki zdrowotnej oraz wykazu świadczeń opieki zdrowotnej wymagających ustalenia odrębnego sposobu finansowania, przyjęto że występujące we wzorze na obliczenie wartości ryczałtu systemu zabezpieczenia oznaczenia Ri oraz Li symbolizują odpowiednio:
Ri – ryczałt danego świadczeniodawcy w okresie obliczeniowym, to jest okresie rozliczeniowym poprzedzającym okres, dla którego ustala się kwotę ryczałtu systemu zabezpieczenia,
Li – Liczba jednostek świadczeń wykonanych i sprawozdanych przez danego świadczeniodawcę w okresie obliczeniowym, to jest okresie rozliczeniowym poprzedzającym okres, dla którego ustala się kwotę ryczałtu systemu zabezpieczenia.
Zdefiniowane zatem zostało znaczenie symboli występujących we wzorze służącym obliczeniu wartości Ci i ich przypisanie do poziomu poszczególnych świadczeniodawców. Kluczowym dla rozstrzygnięcia w jaki sposób należy obliczać współczynnik Ci jest wobec powyższego znaczenie występującego zarówno w liczniku, jak i w mianowniku symbolu Ʃ we wzorze.

W ocenie ekspertów Kancelarii, jeżeli mowa jest o danych dotyczących danego świadczeniodawcy, Ʃ wskazuje na konieczność dokonania obliczeń w oparciu o sumę danych liczbowych dotyczących wyłącznie jednego podmiotu. Świadczeniodawca ten udziela bowiem świadczeń w różnych profilach stanowiących podstawę dokonania kwalifikacji do systemu zabezpieczenia oraz w ramach profili dodatkowych. Nie bez znaczenia jest ten fakt, wobec występujących różnic pomiędzy taryfikacją poszczególnych profili, a nawet świadczeń w poszczególnych profilach jednego świadczeniodawcy. Nie można zatem mówić o nieprawidłowym skróceniu Ʃ w toku dokonywanych obliczeń, a o jej przełożeniu na sumowanie świadczeń w poszczególnych profilach. W przypadku braku wskazania dotyczącego sumowania wartości poszczególnych profili mogłaby powstawać wątpliwość, co do prawidłowości podstawienia zsumowanych dla danego świadczeniodawcy zakresów do wzoru.
Co znaczące, symbol Ʃ pojawia się we wzorze także w odniesieniu do współczynników Qj, czyli współczynników korygujących, związanych z jakością procesu udzielania świadczeń przez danego świadczeniodawcę, w danym okresie obliczeniowym (i).
Gdyby przez analogię ze wskazanym przez Ministerstwo (w odpowiedzi Rzecznika Prasowego) sposobem obliczenia współczynnika Ci przyjąć interpretację dotyczącą sumowania danych liczbowych wszystkich uczestników systemu zabezpieczenia, można by dojść do wniosku, że jakość także należałoby oceniać w ujęciu całościowym. W tabeli dotyczącej współczynników jakości zastrzeżono natomiast przykładowo posiadanie ważnej akredytacji, co trudno jest oceniać w kontekście świadczeniodawców w systemie zabezpieczenia jako ogółu.
Wątpliwości może budzić także przyjęcie uśrednionej ceny jednostki sprawozdawczej dla wszystkich świadczeniodawców funkcjonujących w ramach systemu zabezpieczenia. Prowadzić by to bowiem mogło do braku zróżnicowania dla stawek przyjmowanych dla podmiotów na różnym stopniu zabezpieczenia, mimo że ideą reformy jest m.in. zabezpieczenie stabilności finansowania podmiotów udzielających wyspecjalizowanych świadczeń, w szczególności wskazując na podmioty na poziomie III i ogólnopolskim. Jednolita cena dla wszystkich poziomów zabezpieczenia byłaby zatem niekorzystna dla świadczeniodawców sprawujących opiekę nad pacjentami, u których występują najpoważniejsze problemy zdrowotne.
Szacując skutki ustalania ryczałtu w oparciu o zaprezentowany wzór nie przyjęto także obniżenia przez świadczeniodawców liczby udzielonych świadczeń, ponieważ stworzona symulacja dotyczy zamkniętego okresu stanowiącego podstawę dla prowadzonych obliczeń, a nie prognoz na przyszłość. Wobec braku możliwości ingerencji w dane historyczne, na których oparte są wyliczenia, zostały one przyjęte bez dokonywania zmian czy w szczególności proporcjonalnego zmniejszenia liczby świadczeń.
W całej dyskusji o wartości wyrażenia ważne są dwie sprawy:
1. Intencje, cel jaki się chce osiągnąć opisując projektowaną rzeczywistość wzorem
2. Precyzja narzędzia realizującego.
Wzory matematyczne w tekstach aktów prawnych dobrze wyglądają. Rzucają na kolana mądrością autorów i zniechęcają większość do zagłębiania się w „ślimaki” – przecież ktoś mądry musiał to policzyć. Zarówno przy budowaniu wyrażenia matematycznego jak i jego opisywaniu dobrze jest zachować dyscyplinę logiczną i językową.
Wyrażenie matematyczne w akcie prawnym musi mieć sens, który daje wynik zgodny z celem regulacji w każdym przypadku. Opis tego wyrażania powinien być jednoznaczny i nie powinien pozostawiać miejsca na interpretację. Zdaniem Ministerstwa Zdrowia Kancelaria błądzi, że założenia i wyniki osiągane przez Autorów wzoru są inne. Powstaje pytanie czy obliczenia i wykres przedstawione przez Kancelarię są nieprawdziwe? Co się dzieje się kiedy mamy tylko jednego świadczeniodawcę albo wszystkich świadczeniodawców traktujemy jako jednego, czy wtedy wzór nie oddaje logiki systemu? Jeżeli oddaje logikę systemu to dlaczego premiowane jest zmniejszenie wykonania świadczeń? Zatem jeśli projektodawca przedstawia akt wykonawczy to wynika z niego, że nie powiedział wszystkiego.
Jeśli będziemy posługiwać się jedną ceną jednostki rozliczeniowej w systemie (jak by wynikało z wyjaśnienia Ministerstwa Zdrowia), to co nią będzie? Może sztuka udzielonego świadczenia „hospirada”, stanowiąca swoistą wypadkową porady i hospitalizacji. Jednak wątpliwość budzi wówczas możliwość ustalenia jej faktycznej ceny, a dodatkowo jako cena ogólnopolska, a sposób liczenia wartości ryczałtu opiera się o dane wszystkich świadczeniodawców, to co wówczas z algorytmem podziału środków na województwa?
Czy rzeczywiście cena jednostki świadczeń, w tym co pozostanie po AOS, ma być równa cenie jednostki świadczeń szpitalnych. Jeżeli tek to jak to wpłynie na wartość ryczałtu świadczeniodawców o różnej strukturze świadczeń. Uśrednienie ceny oznacza straty (zmniejszenie ryczałtu) świadczeniodawców, którzy realizowali więcej świadczeń szpitalnych.
Istnieje też obawa, że w algorytmie ryczałtu początkowego zostaną skonsumowane współczynniki korygujące i współczynniki te nie będą już działały w przyszłości. To z kolei może oznaczać obniżenie finansowania oddziałów specjalistycznych np. oddziałów pediatrycznych.
W ocenie ekspertów kancelarii zapisy projektu rozporządzenia w zakresie wzoru na obliczanie ryczałtu na kolejny okres, a w szczególności wyjaśnienia składowych wzoru, są nie tyle niejednoznaczne, co nieprawidłowe. Wyjaśnienie Rzecznika Prasowego Ministra Zdrowia stawiają nowe światło na myśl autorów jaką chcieli zrealizować. Jednak w naszej ocenie obraz jawiący się w tym nowym świetle, nie przedstawia dobrego rozwiązania dla sposobu ustalania wartości budżetów szpitali. Dodatkowo, wobec idei zmian opisanych w projektach reformy budzą szereg wątpliwości i niespójności.